Ведомственные строительные нормы. Часть 4

Страницы: 1 | 2 | 3 | 4

VI. ОРГАНИЗАЦИЯ СНЕГОБОРЬБЫ

§ 99. Безопасность и бесперебойность движения автомобилей, а также стоимость снегоборьбы в значительной степени зависят от организации работ и подготовки к зимнему периоду. Дорожные хозяйства должны составлять детальные планы зимнего содержания дорог и утверждать их в упрдоре или управлении строительства и ремонта автомобильных дорог.

§ 100. Заготовка новых щитов, кольев, материалов для привязки щитов, а также ремонт снегозадерживающих устройств должны быть закончены не позже, чем за месяц до начала снегоборьбы. Установку кольев необходимо заканчивать до наступления заморозков. Щиты устанавливают после того, как земля замерзнет и колья будут удерживать щиты даже при сильных ветрах.

§ 101. Для обеспечения эффективной снегоборьбы большое значение имеет правильное комплектование по численности и составу парка снегоочистительных машин. Общее количество снегоочистительных машин зависит от климатических условий и заносимости дороги; оно должно быть тем больше, чем интенсивнее метелевая деятельность и сильнее заносимость дороги. В районах с интенсивными частыми метелями необходимо в составе парка увеличивать удельный вес машин, предназначенных для расчистки снежных отложений большой толщины и плотности, - роторных снегоочистителей, бульдозеров, автогрейдеров. Подсчет потребности в снегоочистителях и машинах для прокладки снегозащитных траншей должен производиться дорожными хозяйствами в соответствии с методическими указаниями, помещенными в Приложениях 1 и 2.

§ 102. Машины для снегоборьбы должны быть заблаговременно отремонтированы и не менее чем за месяц до начала зимнего периода опробованы. Готовность машин фиксируют актом, который подписывает комиссия в составе представителя упрдора и управления строительства и ремонта автомобильных дорог, главного инженера и механика дорожного участка. Отремонтированные снегоочистители ставят на подкладки и хранят под навесом, роторные снегоочистители - в гаражах. Все неокрашенные части снегоочистителей смазывают солидолом. Особого внимания требуют шарнирные соединения и детали, имеющие винтовую резьбу. Снегоочистители должны храниться в собранном виде.

§ 103. Плужные автомобильные снегоочистители и автогрейдеры размещают в ДРП и на дистанциях, где они максимально приближены к обслуживаемому участку. Машины, которыми нужно маневрировать, периодически сосредоточивая в местах, где создаются временные затруднения (роторные снегоочистители, тракторы с бульдозерами и плужными двухотвальными снегоочистителями), следует держать при дорожных участках.

§ 104. На дорогах, проходящих в районах, где возможны интенсивные длительные метели, при ДРП и дорожных дистанциях создается оперативный резерв: до 1000 переносных щитов на ДРП и до 500 - на дистанции для участков, где защита отработалась или не выставлялась совсем. При упрдорах создают оперативный резерв машин, включающий роторные снегоочистители и тракторы с тяжелым снегоочистительным оборудованием (плужные двухотвальные снегоочистители и бульдозеры). Эти машины направляют на участки, где требуется восстановить проезд и устранить тяжелые заносы. Состав резерва машин: в районах трудной снегоборьбы (с объемом снегопереноса до 250 м3/пог. м) - два роторных снегоочистителя и три бульдозера на каждую 1000 км дорог, обслуживаемых зимним содержанием; в районах очень трудной снегоборьбы (с объемом снегопереноса 400 - 600 м3/пог. м) - три роторных снегоочистителя и пять бульдозеров на каждую - 1000 км дорог, обслуживаемых зимним содержанием.

§ 105. До наступления заморозков проезжая часть дороги должна быть полностью отремонтирована, обочины спланированы и освобождены от дорожно-строительных материалов и других предметов, которые могут вызвать поломку снегоочистителей или способствовать образованию заносов на дороге.

§ 106. Материалы на обрезах складывают так, чтобы шлейфы снежных отложений, образующиеся за ними, не могли выйти на дорогу. Кустарники и другая растительность, изгороди и заборы, способные вызвать снежные заносы вследствие близости к дороге, должны быть удалены. Если это сделать нельзя, необходимо оградить препятствия с полевой стороны щитами, установив их на достаточном расстоянии от дороги.

§ 107. Искусственные сооружения, не имеющие перил, обставляют предупреждающими знаками или надолбами, чтобы водители снегоочистителей и проезжающих по дороге автомобилей могли определить безопасную ширину проезда. Отверстия малых мостов и труб в районах, где зимой не бывает частых оттепелей, закрывают щитами из хвороста или соломы.

§ 108. При каждом ДРП и отдельных дистанциях организуют заправочные пункты для снегоочистительных машин и пескоразбрасывателей с 10-дневным запасом топлива и смазки, подготавливают гаражи и места стоянок для снегоочистителей и пескоразбрасывателей, оборудуя водо- и маслогрейками. Заблаговременно ремонтируют и отепляют помещения для отдыха и обогрева рабочих и водителей. Эти помещения должны иметь кровати с постельными принадлежностями, печь или плиту для приготовления пищи, аптечки, а также места для сушки одежды и обуви.

§ 109. Снегоборьбой руководят непосредственно начальники и главные инженеры участков. С началом работ по зимнему содержанию дорог в упрдорах, управлениях строительства и ремонта автомобильных дорог и дорожных участках организуют непрерывное дежурство. В обязанности дежурных входит прием и передача донесений и распоряжений, а также регистрация их в журналах.

§ 110. Упрдоры и управления строительства и ремонта автомобильных дорог должны сообщать вышестоящим организациям о всех случаях перерыва движения по дороге из-за снежных заносов или завалов, указывая участки, где прервано движение, и меры, принятые для устранения причин перерыва движения.

§ 111. Правильная организация снегоборьбы возможна только в том случае, если работники дорожной службы ведут систематические наблюдения за условиями зимнего периода с целью их учета.

§ 112. Наблюдения следует вести за метельными явлениями, записывая даты метели, ее интенсивность, продолжительность, скорость и направление ветра, температуру воздуха; за отложениями на дороге с указаниями толщины и плотности снежного слоя. Кроме того, необходимо систематически измерять снежные отложения у защитных устройств.

Приложение 1

МЕТОДИКА ОПРЕДЕЛЕНИЯ ПОТРЕБНОСТИ В СНЕГООЧИСТИТЕЛЬНЫХ МАШИНАХ

Работы по очистке автомобильных дорог от снега делятся на объемные и безобъемные. При объемных работах с полотна дороги удаляют накопившиеся снежные отложения, имеющие определенный объем, который может быть подсчитан. При безобъемных работах (патрульной очистке) ставится задача немедленного удаления с дороги снежных отложений по мере их возникновения; в этом случае объем удаляемого снега подсчитать нельзя. Объемные работы выполняют роторными снегоочистителями, автогрейдерами и бульдозерами; безобъемные - автомобильными плужными снегоочистителями.

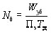
Потребность в снегоочистительных машинах, выполняющих объемные работы, определяется по формуле
формула, потребность в снегоочистительных машинах, (1)
где количество - количество снегоочистительных машин для расчистки снежных отложений на участке дороги, шт.;
объем - объем снега, подлежащего уборке за один цикл снегоочистки на рассматриваемом участке дороги, м3;
производительность - эксплуатационная производительность одной машины, м3/ч;
время - время, в течение которого нужно очистить дорогу от снега, ч (задается директивным путем; рекомендуемая продолжительность срока расчистки заносов для особенно важных дорог 2 - 4 ч, для остальных дорог общегосударственного, республиканского и областного значения 4 - 6 ч, для дорог местного значения 6 - 8 ч. Назначение директивного срока следует делать на основе технико-экономических подсчетов).

Эксплуатационная производительность снегоочистительных машин среднего типа (автогрейдеры Д-144, бульдозеры Д-271, роторные снегоочистители Д-470) в соответствии с опытными данными Союздорнии и б. ЦНИС Минавтошосдора РСФСР может быть принята для объемных работ в соответствии с табл. 1.

Таблица 1
Эксплуатационная производительность машин
-------------T---------------------------------------T------------

Машина ¦ Выполняемая работа ¦ Эксплуатационная производительность м3/ч

-------------+---------------------------------------+------------

Автогрейдеры ¦ Расчистка заносов при толщине снежных ¦ 800

(Д-144) ¦ отложений 30 - 40 см ¦

¦ Уширение полосы расчистки (одиночное) ¦ 420

¦ Уборка снежных валов (совместно ¦ 250

¦ с роторным снегоочистителем) ¦

Бульдозеры ¦ Расчистка заносов при толщине снежных ¦ 600

(Д-271) ¦ отложений 40 - 80 см ¦

¦ Уширение полосы расчистки ¦ 400

Роторные ¦ Расчистка отложений снежных заносов ¦ 2000

снегоочисти- ¦ при толщине 40 - 120 см ¦

тели (Д-470) ¦ Уборка снежных валов ¦ 1300

При наличии машин других типов (легкого или тяжелого) производительность следует брать по паспортным данным с учетом коэффициента использования в течение смены
формула, производительность, (2)
где производительность - техническая производительность по паспортным данным;
коэффициент - коэффициент использования машины в течение смены (для снегоочистителей можно принять коэффициент = 0,7).

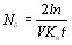
Расчетный объем снегоуборки определяется на основании учета фактических объемов снегоотложений, которые приходится удалять на данной дороге. С этой целью работники дорожной службы должны организовать простейшие наблюдения за снегоотложениями на дороге с учетом их толщины и плотности (см. § 112). При безобъемных работах (патрульной очистке) необходимое количество автомобильных плужных снегоочистителей определяется по формуле
количество автомобильных плужных снегоочистителей, (3)

где количество - количество автомобильных плужных снегоочистителей на обслуживаемый участок дороги;
l - длина обслуживаемого участка дороги, для которого определяется требуемое количество снегоочистительных машин, км;
n - число проходов снегоочистителей, необходимое для полной уборки снега с половины ширины дорожного полотна (зависит от категории дороги и составляет для I категории - 5, для II и III - 3, для IV и V - 2);
V - средняя рабочая скорость снегоочистителя (может быть принята для расчета 25 км/ч);
K - коэффициент использования машин в течение смены (для снегоочистителей может быть принят равным 0,7);
t - время между проходами плужных снегоочистителей, ч.

В каждом конкретном случае известны все члены, входящие в формулу (3), кроме t. Необходимая частота проходов плужных снегоочистителей по патрулируемому участку зависит от интенсивности накопления снега на дороге при снегопадах и метелях. Наблюдениями Союздорнии установлено, что при слое рыхлого снега в 5 см начинает снижаться скорость автомобилей, проезжающих по дороге, и, кроме того, образуется уплотненный неровный слой снега (снежный накат), который может превратиться в лед. Учитывая это, рекомендуется принимать при расчетах допустимую толщину снегонакопления на дорожном полотне при патрульной очистке h не более: 3 см для общегосударственных, республиканских и областных дорог, что гарантирует от снижения скорости и образования наката; 5 см для местных дорог, т.е. не более предела, после которого снижается скорость автомобилей и образуется накат.

Время между проходами плужных снегоочистителей t следует принимать равным продолжительности накопления снега до допустимой толщины, которая равна
формула, время, (4)
где t - время снегонакопления до допустимой толщины, ч;
h - допустимая толщина снегонакопления, см;
i - интенсивность накопления снега, см/ч.

Интенсивность накопления снега на дороге может быть определена непосредственными наблюдениями, проводимыми дорожной службой, или расчетным путем. На основе обработки многолетних данных гидрометеорологической службы и определения расчетных интенсивностей снегонакопления для районов различной трудности снегоборьбы Союздорнии составлена таблица значений , которой можно пользоваться при определении потребности в автомобильных плужных снегоочистителях (табл. 2).

Таблица 2
Расчетное время снегонакопления
---------T---------------------------------------T----------------

Район ¦ Характеристика дороги ¦ Расчетное время

трудности +------------T--------------------------+ между проходами

снего- ¦ по ¦ по значению ¦ снегоочистителей

борьбы ¦ заносимости ¦ ¦ t , ч

¦ ¦ ¦ н

---------+------------+--------------------------+----------------

I ¦ Заносимые ¦ Общегосударственные, ¦ 6,6

¦ ¦ республиканские, областные ¦

¦ ¦ Местные ¦ 7,6

¦ Незаносимые ¦ Общегосударственные, ¦ 7,3

¦ ¦ республиканские, областные ¦

¦ ¦ Местные ¦ 8,5

---------+------------+--------------------------+----------------

II ¦ Заносимые ¦ Общегосударственные, ¦ 4,3

¦ ¦ республиканские, областные ¦

¦ ¦ Местные ¦ 4,9

¦ Незаносимые ¦ Общегосударственные, ¦ 4,8

¦ ¦ республиканские, областные ¦

¦ ¦ Местные ¦ 6,1

---------+------------+--------------------------+----------------

III ¦ Заносимые ¦ Общегосударственные, ¦ 3,4

¦ ¦ республиканские, областные ¦

¦ ¦ Местные ¦ 3,8

¦ Незаносимые ¦ Общегосударственные, ¦ 4,1

¦ ¦ республиканские, областные ¦

¦ ¦ Местные ¦ 4,7

---------+------------+--------------------------+----------------

IV и V ¦ Заносимые ¦ Общегосударственные, ¦ 2,8

¦ ¦ республиканские, областные ¦

¦ ¦ Местные ¦ 3,3

¦ Незаносимые ¦ Общегосударственные, ¦ 3,5

¦ ¦ республиканские, областные ¦

¦ ¦ Местные ¦ 4,8

Примечания. 1. Отнесение к району трудности снегоборьбы производится в соответствии с Приложением 3.

2. К незаносимым отнесены участки дорог, проходящие по незаносимым насыпям, глубоким выемкам и лесным массивам; к заносимым - все участки, расположенные в открытой местности и подверженные снежным заносам (см. табл. 1 Указаний). Принято, что все заносимые участки ограждены снегозащитой. Пример расчета потребности в снегоочистительных машинах. Участок дороги III категории республиканского значения протяжением 150 км расположен в III районе трудности снегоборьбы. Из общей длины 60% относятся к заносимым участкам. Объем снегоуборки после сильной метели, которая принята за расчетную, = 48800 м3, из них 12400 м3 при толщине снежного слоя меньше 0,4 м и 36400 м3 при толщине слоя больше 0,4 м. Директивный срок расчистки = 4 ч. Потребность машин для объемных работ определяем по формуле (1) Приложения 1. Снежные отложения толщиной меньше 0,4 м убираем автогрейдерами
формула, потребность машин автогрейдера.

Снежные отложения толще 0,4 м убирает отряд из роторных снегоочистителей и бульдозера. Состав каждого отряда - два роторных снегоочистителя и один бульдозер
формула, кол-во отрядов отряда.

Потребность: роторных снегоочистителей - 2 x 2 = 4 шт., бульдозеров - 2 x 1 = 2 шт. Определяем потребность в машинах для безобъемных работ по формуле (3). Находим t: для заносимых участков = 3,4 ч; для незаносимых участков = 4,1 ч.

Потребность в плужных автомобильных снегоочистителях:
формула, кол-во снегоочистителей плужных снегоочистителей.

Таким образом, полная потребность в машинах для очистки от снега данного участка составляет: 2 автогрейдера; 4 роторных снегоочистителя; 2 бульдозера; 14 плужных автомобильных снегоочистителей.

Приложение 2

Определение количества машин для прокладки снегозащитных траншей

Количество машин для прокладки снегозащитных траншей (двухотвальных тракторных снегоочистителей или бульдозеров) на участках, требующих защиты, определяется по формуле
формула, кол-во машин, (1)
где m - количество траншей, прокладываемых одновременно, принимается согласно § 18 Указаний:
3 - при объемах снегопереноса до 100 м3/пог. м;
4 - при объемах снегопереноса до 200 м3/пог. м;
5 - при объемах снегопереноса более 200 м3/пог. м;
L - длина участка, на котором устраивают снегозащитные траншеи, км;
V - рабочая скорость машины, прокладывающей траншею (можно принять = 3 км/ч);
K - коэффициент использования машины по времени (0,7);
t - возможное время работы по прокладке траншей в течение промежутка между метелями, ч.

Значение можно определить по данным ближайших метеорологических станций. Приближенно можно принять расчетное значение равным: для I района - 72 ч; II района - 48 ч; III района - 40 ч; IV района - 32 ч; V района - 24 ч. Пример определения потребности в машинах для снегозащитных траншей. Требуется защитить дорогу снегозащитными траншеями с двух сторон при общем протяжении заносимых участков дороги 90 км в III районе трудности снегоборьбы. Объем снегопереноса с одной стороны дороги - 100 м3/пог. м, с другой - 200. Потребность в машинах для устройства траншей определяем по формуле (1). Продолжительность междуметельного промежутка = 40 ч.
формула, кол-во машин - двухотвальных плужных снегоочистителей или бульдозеров.

Приложение 3

Районирование территории РСФСР по трудности снегоборьбы

По трудности снегоборьбы территория РСФСР разбита на пять категорий:

  • I - районы легкой снегоборьбы;
  • II - районы средней трудности снегоборьбы;
  • III - районы трудной снегоборьбы;
  • IV - районы очень трудной снегоборьбы;
  • V - районы особенно трудной снегоборьбы.

Районы легкой снегоборьбы. Продолжительность снежного периода 60 - 100 суток, в отдельных местах до 160 суток в году. Скорость ветра при метелях, как правило, не превосходит 15 м/сек, средняя многолетняя высота снежного покрова 15 - 20 см. Объемы снегопереноса в большинстве случаев не превышают 25 - 50 м3/пог. м, только в отдельных случаях доходят до 100 м3/пог. м. В обычные зимы приходится удалять отложения небольшой толщины (до 10 - 15 см). Снежные заносы образуются редко и на небольших протяжениях. Отложения большой толщины наблюдаются очень редко и лишь в наиболее снежные зимы. К районам легкой снегоборьбы отнесены: Калининградская обл., южная часть Калмыцкой АССР, Краснодарский и Ставропольский края, Дагестанская АССР, Кабардино-Балкарская АССР, Чечено-Ингушская АССР, Северо-Осетинская АССР, южные части Астраханской и Ростовской областей, Читинская и Амурская области, юго-западная часть Хабаровского края.

Районы средней трудности снегоборьбы. Продолжительность снежного периода 100 - 160 суток, а в отдельных местах до 200 суток в году. Объем снегопереноса, как правило, не превышает 100 - 150 м3/пог. м. Снежные заносы образуются систематически, но не особенно большой толщины и протяжения. Отложения большой толщины (более 1,0 - 1,5 м) наблюдаются редко. К районам средней трудности снегоборьбы отнесены: Карельская АССР, Ленинградская, Псковская, Новгородская, Костромская, Вологодская, Смоленская, Брянская, Калининская, Ярославская, Владимирская, Московская, Ивановская области, южные части Коми АССР и Архангельской обл., Кировская, Пермская, Волгоградская, Томская, Свердловская, Иркутская, Челябинская, Курганская области, Удмуртская АССР, Тюменская обл. (кроме Ямало-Ненецкого национального округа), северные части Омской, Ростовской, Астраханской, Горьковской и Калужской областей, северная часть Калмыцкой АССР, Хабаровский край (кроме юго-западной части), Тувинская и Бурятская АССР, Якутская АССР (южнее Северного полярного круга), Приморский и Краснодарский края (кроме юго-западной части Таймырского национального округа).

Районы трудной снегоборьбы. Зимой преобладают сильные ветры и интенсивные метели. Снежные заносы образуются систематически, часто большой толщины и плотности. Метели переносят большое количество снега. Объемы снегопереноса достигают 250 м3/пог. м, в отдельных пунктах - 400 м3/пог. м. К районам трудной снегоборьбы отнесены: центральная часть Архангельской обл., Тульская, Орловская, Курская, Воронежская, Белгородская, Липецкая, Рязанская, Тамбовская, Пензенская области, Мордовская, Татарская, Марийская, Чувашская и Башкирская АССР, Саратовская и Ульяновская области, южная часть Горьковской, Омской и Калужской областей, южная часть Мурманской обл., Новосибирская и Кемеровская области, юго-западная часть Красноярского края, Горно-Алтайская автономная область, центральная часть Коми АССР, юго-западная часть Магаданской обл., южная часть заполярной территории Якутской АССР.

Районы очень трудной снегоборьбы. Ветры переносят зимой огромное количество снега, объемы снегопереноса достигают 400 - 600 м3/пог. м, в отдельных пунктах - 1000 м3/пог. м. Отложения от интенсивных снегопадов или снежные заносы большой толщины систематически образуются на участках большого протяжения. К районам очень трудной снегоборьбы отнесены: Куйбышевская и Оренбургская области, Алтайский край (кроме Горно-Алтайской автономной области), Сахалинская обл., центральная часть Магаданской обл., северные части Мурманской и Архангельской областей, северная часть Коми АССР, Камчатская обл. (кроме Корякского национального округа и побережья Камчатского полуострова), центральная часть заполярной территории Якутской АССР, южная часть Ямало-Ненецкого национального округа.

Районы особенно трудной снегоборьбы. Продолжительность снежного периода составляет 220 - 240 суток, а в отдельных местах доходит до 300 суток в году. Скорость ветра при метелях нередко достигает 40 - 45 м/сек, а число суток с метелями доходит до 125 - 130 за зиму при продолжительности отдельных метелей до 10 и более суток подряд. Снег обладает большой подвижностью вследствие низкой температуры воздуха, нередко опускающейся до -50 и -60 °C. Метели переносят снег в очень большом количестве и образуют мощные снежные отложения на дорогах. Объем снегопереноса в районах особенно трудной снегоборьбы доходит до 1000 м3/пог. м и более. К районам особенно трудной снегоборьбы отнесены: северная часть Ямало- Ненецкого национального округа, Ненецкий национальный округ, Таймырский национальный округ, северная часть заполярной территории Якутской АССР, побережье Чукотского округа в пределах Восточно-Сибирского, Чукотского и Берингова морей (включая Корякский национальный округ).


Страницы: 1 | 2 | 3 | 4

. . .
Производство профилированных перфорированных пылеветрозащитных панелей 1Производство профилированных перфорированных пылеветрозащитных панелей 1 Производство профилированных перфорированных пылеветрозащитных панелей 2Производство профилированных перфорированных пылеветрозащитных панелей 2 Производство профилированных перфорированных пылеветрозащитных панелей 3Производство профилированных перфорированных пылеветрозащитных панелей 3 Производство профилированных перфорированных пылеветрозащитных панелей 4Производство профилированных перфорированных пылеветрозащитных панелей 4